ОБЩИЕ СВЕДЕНИЯ
I. Торговое наименование: «Вакцина против ньюкаслской болезни живая сухая из штамма «Ла-Сота».
Международное непатентованное наименование: Вакцина против ньюкаслской болезни живая сухая из штамма «Ла-Сота».
2. Лекарственная форма — лиофилизат для приготовления суспензии для интраназального (окулярного), перорального, аэрозольного применения и спрей- метода.
Вакцина произведена из эксграэмбриональной жидкости СПФ-эмбрионов кур, инфицированных аттенуированным вирусом ньюкаслской болезни (штамм «Ла-Сота»), с добавлением стабилизатора, в состав которого входят водные растворы сахарозы, желатина и пептона.
Одна интраназальная (окулярная) доза вакцины содержит не менее 6,7 lg ЭИДо вируса НБ (штамм «Ла-Сота»).
3. По внешнему виду вакцина представляет собой сухую однородную пористую массу светло-желтого или светло-коричневого цвета, легкорастворимую в воде без образования хлопьев и осадка.
Срок годности вакцины 12 мес от даты выпуска при соблюдении условий хранения и транспортирования.
После вскрытия флакона и разведения вакцину необходимо использовать в течение 2 часов при температуре 17-23 °C. По истечении срока годности вакцина к применению нс пригодна.
4. Вакцина расфасована по 2,0 см3 (100-5000 прививных доз), 3,0 см3 (100 5000 прививных доз). 4,0 см’ (100-5 000 прививных доз) в стеклянные флаконы вместимостью 10 см’.
Флаконы вакуумированы, герметично укупорены резиновыми пробками, укрепленными алюминиевыми колпачками.
Флаконы с вакциной упаковывают в картонные коробки (пачки) по 10 флаконов и/или поштучно в картонную индивидуальную коробку (пачку), каждая потребительская упаковка снабжена инструкцией по применению.
Коробки (пачки) упаковывают в ящики из гофрированного картона.
5. Вакцину хранят и транспортируют в защищенном от света месте при температуре от 2 °C до 8 °C.
6. Вакцину следует хранить в местах, недоступных для детей.
7. Флаконы с вакциной без этикеток, с истекшим сроком годности, с нарушением целостности и/или герметичности укупорки, с наличием посторонней примеси, с измененным цветом и/или консистенцией, а также остатки вакцины, неиспользованные в течение 2 часов после вскрытия флаконов, подлежат выбраковке и обеззараживанию кипячением в течение 30 мин, или обработке 2% раствором щелочи или 5% раствором хлорамина (1:1) в течение 30 минут с последующей утилизацией.
Утилизация обеззараженной вакцины не требует специальных мер предосторожности.
8. Вакцина отпускается без рецепта ветеринарного врача.
ФАРМАКОЛОГИЧЕСКИЕ СВОЙСТВА
9. Фармакотерапевтическая группа: вакцины, сыворотки, фаги и анатоксины.
10. Вакцина вызывает формирование иммунного ответа у птиц к возбудителю ньюкаслской болезни в течение 5-8 дней после однократной иммунизации, продолжительностью не менее 6-8 недель.
Вакцина безвредна, лечебными свойствами не обладает.
ПОРЯДОК ПРИМЕНЕНИЯ ВЕТЕРИНАРНОГО ПРЕПАРАТА
11. Вакцина предназначена для профилактики ньюкаслской болезни у цыплят, ремонтного молодняка, кур-несушек в благополучных, угрожаемых и неблагополучных по данной болезни племенных и товарных птицеводческих хозяйствах различного направления выращивания.
12. Запрещено вакцинировать клинически больных и/или ослабленных птиц.
13. При работе с вакциной следует соблюдать общие правила личной гигиены и техники безопасности, предусмотренные при работе с лекарственными средствами для ветеринарного применения.
Все лица, участвующие в проведении вакцинации, должны быть одеты в спецодежду (резиновые сапоги, халат, брюки, головной убор, резиновые перчатки) и обеспечены индивидуальными средствами защиты: очками закрытого типа.
В местах работы должна быть аптечка первой доврачебной помощи.
При попадании вакцины на кожу и/или слизистые оболочки их рекомендуется промыть большим количеством водопроводной воды.
14. Допускается использование на продуктивном поголовье, в период яйцекладки.
Особенностей действия вакцины на птицу в период яйцекладки не установлено.
15. Способ и сроки вакцинации определяются для конкретного хозяйства в зависимости от эпизоотической ситуации по НБ, но не ранее 10 — сут. возраста птицы.
Оптимальные сроки вакцинации против НБ определяют, исходя из уровня материнских антител у цыплят 10-суточного возраста, исследуя в РТГА или ИФА, исследуя не менее 25 проб сывороток крови от цыплят, находящихся в одном птичнике.
Вакцинацию проводят, если в 20% и более исследуемых проб сывороток крови титр антител к вирусу НБ в РТГА ниже 1:8 (3,0 log2), а в ИФА — ниже двукратного положительного значения, предусмотренного инструкцией но применению используемого диагностического набора.
Вакцину применяют интраназально (окулярно), перорально (методом выпаивания с питьевой водой), методом крупнокапельного распыления (спрей- метод) и аэрозольно.
Использование спрей-метода рекомендуется при угрозе раннего инфицирования поголовья вирусом НБ.
Цыплят спрей-методом иммунизируют, начиная с 1-суточного возраста, независимо от уровня материнских антител.
Интраназальный (окулярный) метод
Во флакон с вакциной добавляют стерильный физиологический раствор (рН=7,2-7,4), из расчета 0,1 см³ на одну интраназальную (окулярную) дозу препарата.
Подготовленную вакцину закапывают глазной пипеткой в носовую щель (или глаз) каждого цыпленка в объеме 0,1 см³ (2 капли), другую при этом закрывают пальцем, чем достигается более глубокое проникновение препарата в носовую полость.
В случае закупорки носовой щели вакцину в том же объеме наносят на конъюнктиву глаза.
Пероральный метод — метод выпаивания с питьевой водой
Системы водообеспечения, имеющиеся в хозяйствах (поилки, ниппели и/или микрочашки), перед иммунизацией должны быть тщательно промыты без применения дезинфицирующих средств и просушены.
Количество поилок должно обеспечивать свободный доступ к препарату всего иммунизируемого поголовья.
За 48 часов до вакцинации и в течение 24 часов после ее завершения запрещается применять дезинфектанты.
Для подготовки и применения вакцины необходимо использовать свежую, чистую, свободную от ионов железа и хлора питьевую воду с температурой 17-22 °C, с использованием специально предназначенной для вакцинации пластиковой, либо стеклянной тары.
Запрещается использование металлических емкостей для растворения вакцины, а также грязной тары, со следами использования дезинфектантов.
Флаконы, необходимые для вакцинации, открываются строго под водой в заранее подготовленном объеме (запрещается контакт содержимого флаконов с воздухом), после чего содержимое тщательно перемешивается в емкости.
Возможно заполнение флаконов водой с помощью шприцев.
В таком случае содержимое заполняется на ½ с помощью шприца с иглой через резиновую пробку, после чего растворенную вакцину тщательно перемешивают и выливают в емкость.
При проведении вакцинации необходимое количество доз вакцины, соответствующее вакцинируемому поголовью, разводят в установленном объеме воды (из расчета 1 иммунизирующая доза на количество воды, выпиваемой одной птицей за 1-2 часа).
В период жаркой погоды выше >30 °C необходимо увеличить количество маточного раствора в 1,5-2 раза.
Примерный объем воды для вакцинации.
| Возраст птицы (недель) | Объем вакцины, необходимый для вакцинации 1000 голов птиц (л) мясная птица | Объем вакцины, необходимый для вакцинации 1000 голов птиц (л) яичная птица |
| 1-3 | 5-15 | 5-15 |
| 4-10 | 20-40 | 16-30 |
| 11-20 | 40-54 | 32-45 |
Для обеспечения устойчивости и сохранности вакцинного вируса, после его восстановления в воду добавляют коммерческие стабилизаторы, согласно инструкции производителя, при этом выдерживают время перед растворением вакцины.
В качестве стабилизаторов допустимо использовать 2-5 г сухого или 50 мл цельного обезжиренного молока (обрата) из расчета на 1 литр маточною раствора, добавляя за 15-20 минут до растворения вакцины.
Контроль качества проведения вакцинации проводится путем внесения в маточный раствор красящих стабилизаторов и последующем учете окраски язычков птицы.
Подготовка к вакцинации начинается с выдержки птицы без воды в течение 1-2 часов, с целью стимуляции водопотребления.
Дачу воды по окончании вакцинации возобновляют через 1-2 часа.
Емкости с вакциной должны быть защищены от попадания прямых солнечных лучей.
До и во время вакцинации птица должна быть обеспечена в свободном доступе кормом.
Пероральный метод не рекомендуется применять для цыплят суточного возраста, ввиду низкого водопотребления.
Спрей-метод (метод крупнокапельного распыления)
Вакцинацию проводят при помощи специальных коррозийно-устойчивых распылителей/спрей-рамок.
Для первичной вакцинации распылитель должен быть настроен под размер 140-250 мкм частиц.
При ревакцинации допустимо создание частиц меньшим диаметром 100 мкм и менее, за счет чего достигается лучший результат.
Для создания капли, определенного размера, выбирается соответствующая форсунка и настраивается рабочее давление оборудования.
Во избежание погрешности в иммунизации рекомендуется предварительно определить производительность используемого распылителя путем разбрызгивания 2-5 литров воды без вакцины, определив размер частиц и форму распыления.
Для удобства визуальной оценки качества вакцинации возможно добавление в маточный раствор краситель-стабилизатор, согласно инструкции производителя.
Распылители нс должны содержать остатков детергентов и дезинфицирующих средств и должны использоваться исключительно для вакцинации.
Вакцину растворяют в чистой питьевой воде, свободной от ионов железа и хлора, с температурой 17-23 °C, из расчета 1 доза голова.
Регидратация вакцины происходит под слоем воды.
Возможно заполнение флаконов водой с помощью шприцев.
Рабочий раствор готовится из расчета: 1000 доз препарата — на 0,1-0,3 л воды при иммунизации 1000 суточных цыплят или на 0,5-1,0 л воды — при иммунизации 1000 птиц старшего возраста, в зависимости от того, какое оборудование используется.
Рабочее разведение вакцины готовят непосредственно перед вакцинацией.
При вакцинации суточных цыплят их помещают в ящики, которые плотно устанавливают в один ряд, и равномерно распыляют вакцину.
Важно не высыпать птицу сразу после вакцинации, а дать ей обсохнуть в течение 5-10 минут, что усиливает эффект вакцинации.
Для вакцинации цыплят в суточном возрасте предпочтительнее использовать спрей-кабинеты (боксы).
В птичнике на период вакцинации отключают систему вентиляции и обогрева (если используются газовые горелки, для поддержания температуры во всем птичнике), уменьшают яркость освещения, что успокаивает птицу и способствует ее группированию.
Вакцинацию проводят на расстоянии 30-40 см над головой птицы при напольном содержание, при клеточном 20 см от передней стенки клетки.
Для визуального контроля качества вакцинации допускается применение специально предназначенных окрашиваемых стабилизаторов.
Показателем правильно проведённой иммунизации является равномерное увлажнение перьевою покрова цыплят.
Включают систему вентиляции и обогрева, а также восстанавливают уровень освещения через 15-30 мин после окончания вакцинации.
Рекомендуется использовать только чистое и свободное от дезинфектантов оборудование.
Аэрозольный метод вакцинации
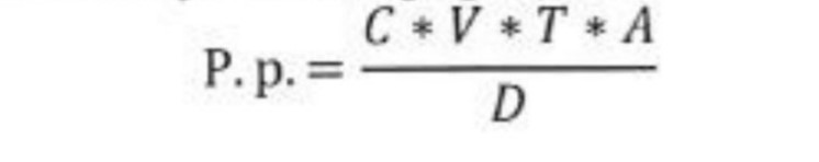
Расчет рабочего разведение препарата для вакцинации птицы аэрозольным методом производиться по следующей формуле:
где: Р.р. — рабочее разведение вируса;
С — концентрация аэрозоля вируса (мг/л) в помещении, величина которой составляет:
- 0,1 — в недостаточно герметизированных птичниках (щели в окнах и дверях, небольшая тяга через приточную вентиляцию)
- и 0,2 — в удовлетворительно герметизированных помещениях (тщательно подогнанные окна, двери, люки вентиляционных шахт, отсутствие щелей). В плохо герметизированных птичниках аэрозольную вакцинацию проводить запрещается.
V — легочной объем у птиц, рассчитывается по формуле:
- где: V — легочной объем, л/мин.;
- 0,78 см³/мин. г. — объем дыхания, приходящийся на 1 гр. массы птицы;
- m — средняя масса птицы, г;
- 1 6 — постоянный коэффициент.
Среднею массу определяют путем взвешивания 30 птиц, взятых из различных мест птичника.
Т — время воздействия аэрозоля на птиц, которое не должно превышать 20 минут.
Экспозиция иммунизации отсчитывается через 1-3 минут после начала работы генераторов аэрозолей.
В жаркие дни иммунизацию птиц проводят в ранние утренние часы и экспозицию сокращают до 15 минут.
А — инфекционная активность вакцинного вируса (lg ЭИД50/см³), должна быть определена предварительно перед поведением иммунизации и пересчитана в lg ЭИД50/мг.
D — иммунизирующая доза вируса, которая должна составлять для цыплят в возрасте до 30 дней — 600 ЭИД50. а для птиц старше месячного возраста — 1000- 1200 ЭИД50.
Пример: Инфекционная активность вируса 9,0 lg ЭИД50/см³ или 6,0 lg ЭИД50/см³ (1000000 ЭИД50/мг).
Концентрация аэрозоля вируса в птичнике 0,1 мг/л.
Экспозиция иммунизации 20 минут.
Посчитанный легочный объем у птицы 0,3 л/мин.
Доза вирус, которую должен получить цыпленок — 1000 ЭИД50.
Т.е. 1 см³ вакцинного вируса необходимо развести 1:500.
Общий объем лиофилизированного вируса, который необходимо взять для приготовления рабочею разведения в конкретном птичнике определяют, исходя из объема птичника (м³) и рабочего разведения вируса.
Пример: объем птичника 6000 м³ рабочее разведение вируса 1:500.
Расход рабочего разведения вируса составляет 1 см³на 1 м³ птичника.
Таким образом, для данного птичника потребуется 6300 см³ рабочего разведения вируса (6000+5% на остаток в генераторах аэрозолей).
Количество лиофилизированного вируса составит для данного птичника 12,6 см³ (6300:500).
Для приготовления рабочего разведения берут вирус не менее, чем из трех флаконов, которые взяли из разных коробок (даже если по расчету получается один флакон), используя то количество вируса, которое необходимо для распыления в птичнике конкретного объема с поправкой в большую сторону по флаконам.
Вакцинный вирус растворяют в дистиллированной или чистой кипяченой воде, охлажденной до комнатной температуры.
Регидратация вакцины происходит под слоем воды.
Возможно заполнение флаконов водой с помощью шприцев.
Для обеспечения устойчивости и сохранности вакцинного вируса, после его восстановления в воду добавляют стабилизаторы.
В качестве стабилизаторов можно использовать 2-5 г сухого или 50 мл цельного обезжиренного молока (обрата) из расчета на 1 литр маточного раствора, что позволяет максимально сохранить активность вакцинного вируса.
При использовании специальных (коммерческих) стабилизаторов необходимо пользоваться инструкцией производителя.
Аэрозольную вакцинацию проводят с помощью генераторов аэрозолей, которые заправляют приготовленным разведением вируса посредством мерного цилиндра.
Размещение генераторов и режим работы определяют в соответствии с руководством (наставление) по их эксплуатации.
До включения генератора аэрозолей, закрывают окна, двери и вентиляционные люки, выключают приточно вытяжную вентиляцию.
Время с момента выключения приточной и вытяжной вентиляции до начала работы генераторов не должно превышать 5 минут.
По истечении времени вакцинации генераторы аэрозолей выключают, птичник и проветривают (открывают люки вентиляционных систем, а в теплое время года — также окна и двери и включают приточно-вытяжную вентиляцию).
Входить в птичник можно не ранее, чем через 10 минут от начала проветривания.
Эффективность вакцинации, проведенной различными способами, оценивают через 14-21 сутки и считают успешной, если в 80% и более проб сыворотки крови титр антител к вирусу НБ в РТГА 1:16 (4,0 log2,) и выше, а в ИФА — в 2 и более раза превышает положительней? значение, предусмотренного инструкцией по применению используемого диагностического набора.
При напряженности иммунитета менее 80% — птицу ревакцинируют.
16. Особенностей поствакцинальной реакции у птицы не установлено.
При применении вакцины в соответствии с настоящей инструкцией побочных явлений и осложнений не отмечается.
В единичных случаях у привитых птиц аэрозольным методом на 3-5 сутки могут отмечаться небольшое угнетение, одышка, снижение аппетита, самопроизвольно исчезающие через 7-10 суток.
17. При передозировке вакцины симптомов проявления ньюкаслской болезни и других патологических признаков не установлено.
18. Взаимодействие вакцины с другими лекарственными препаратами не установлено.
За 24 часа до проведения вакцинации методом выпаивания и в течение 24 часов после ее завершения запрещается использовать с водой другие лекарственные препараты и дезинфектанты.
19. Применение вакцины в установленной дозировке для клинически здоровых птиц является безвредным и не влечет за собой существенных изменений в их состоянии.
20. Следует избегать нарушений схемы (сроков) применения вакцины, поскольку это может привести к снижению эффективности иммунопрофилактики ньюкаслской болезни.
В случае пропуска срока введения вакцины необходимо провести иммунизацию как можно скорее.
21. Ограничения в использовании мяса и яиц от птиц, привитых вакциной, отсутствуют.
ПОЛНОЕ НАИМЕНОВАНИЕ ИЗГОТОВИТЕЛЯ
ФКІ I «Армавирская биофабрика», 352212, Краснодарский край, Новокубанский район, пос. Прогресс, ул. Мечникова, дом 11.


